
![]()
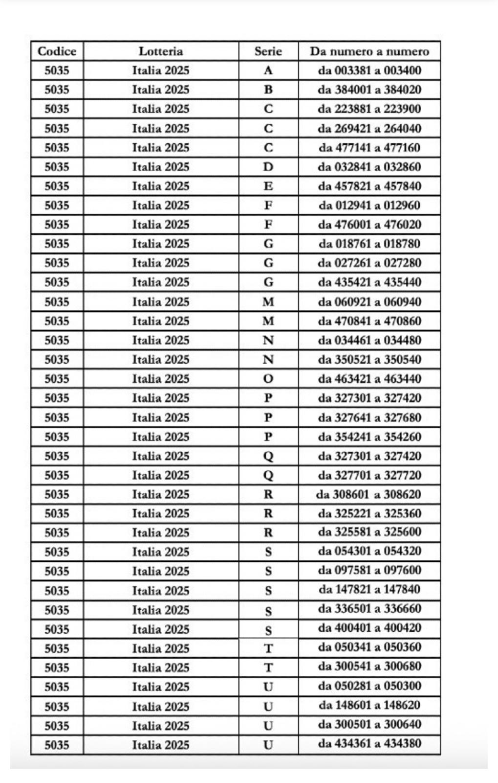
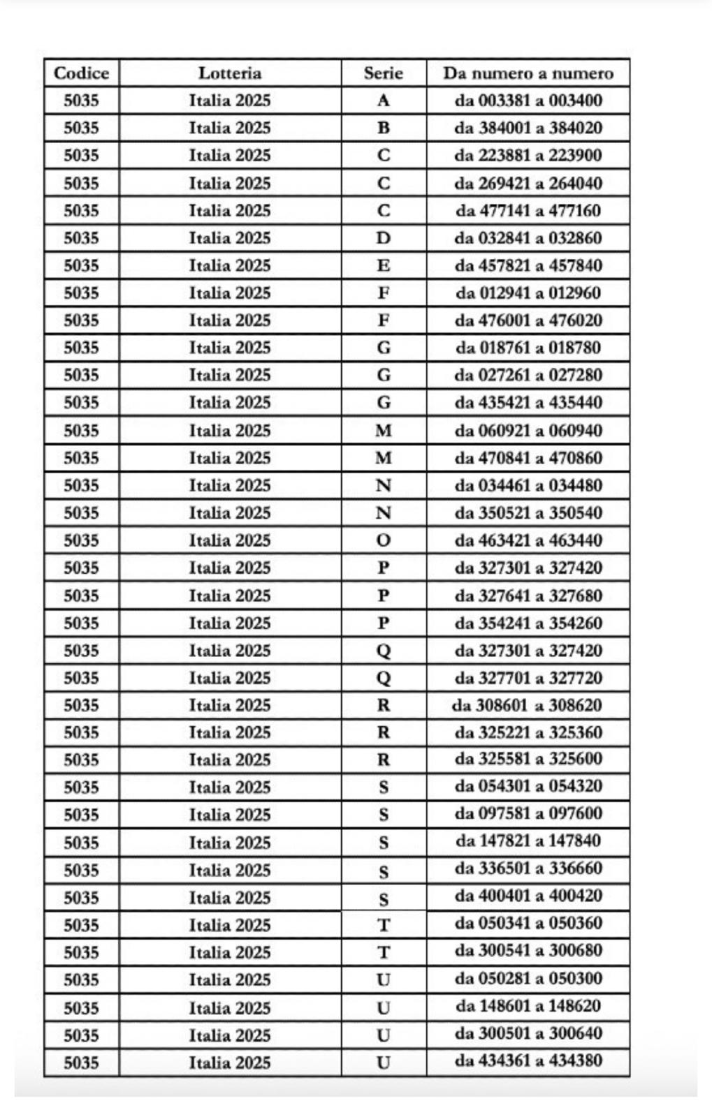
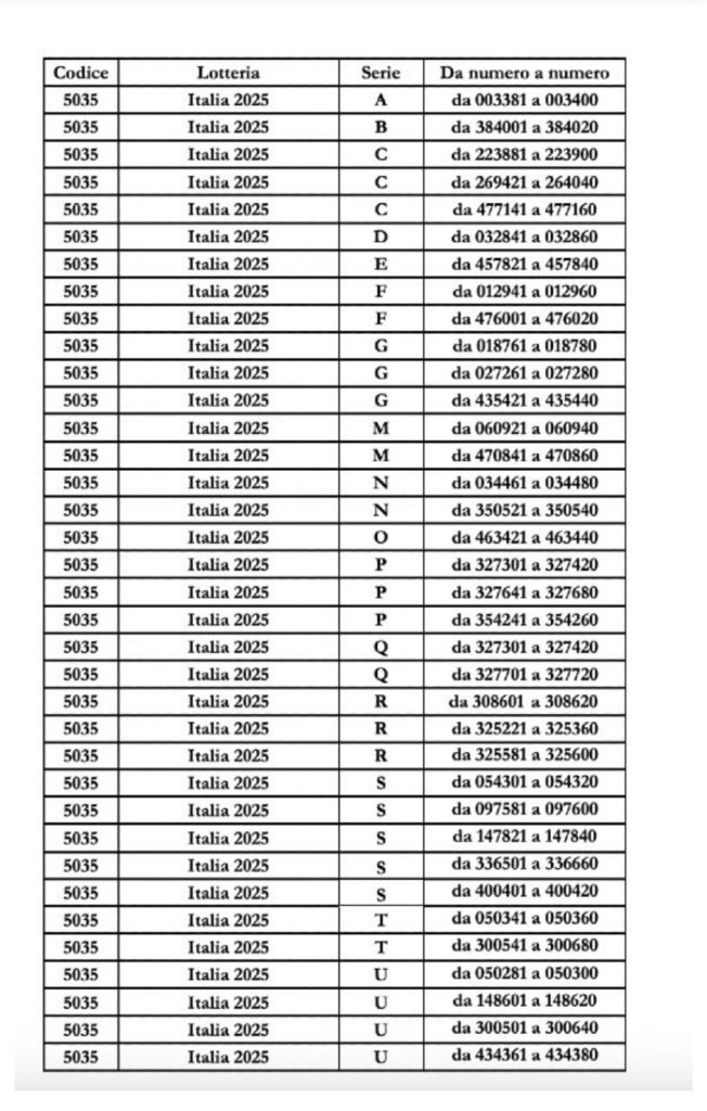
Mentre cresce l’attesa per l’estrazione finale della Lotteria Italia 2025, le autorità hanno reso noto che una parte dei biglietti emessi non parteciperà al concorso. L’Agenzia delle Dogane e dei Monopoli ha infatti disposto l’annullamento di oltre 50 pacchi di tagliandi risultati danneggiati o smarriti prima della consegna ai punti vendita autorizzati.
La decisione, riportata da Agipronews, riguarda esclusivamente biglietti che non hanno mai raggiunto il circuito ufficiale di distribuzione e che, in base al regolamento, vengono considerati come invenduti. Di conseguenza, tali tagliandi sono esclusi a tutti gli effetti dall’estrazione dei premi.
L’Agenzia ha pubblicato l’elenco completo delle serie e dei numeri di matricola annullati, consentendo ai giocatori di verificare la validità del proprio biglietto. Qualora una serie o un numero estratto dovesse coincidere con uno di quelli annullati, l’estrazione verrebbe dichiarata nulla e ripetuta, a garanzia della correttezza della procedura.
Secondo fonti ufficiali, si tratta di una misura di prassi, prevista proprio per tutelare la trasparenza e l’affidabilità di uno dei giochi più seguiti e radicati nella tradizione italiana. Il numero dei biglietti esclusi rappresenta una percentuale minima rispetto al totale emesso e non incide sull’ammontare complessivo del montepremi.
La Lotteria Italia continua così il suo percorso verso l’estrazione finale, con milioni di partecipanti in tutta la Penisola. L’invito per i giocatori è quello di consultare le comunicazioni ufficiali o rivolgersi ai rivenditori autorizzati per ogni verifica, in modo da arrivare all’appuntamento conclusivo con tutte le informazioni necessarie.
